Advertisement
E-Paper

বাতাসের বিষ থেকেই বিকল্প জ্বালানি! উপায় বাতলে ভাটনগর পেলেন দুই বাঙালি

ভাটনগর পুরস্কারের গত ছয় দশকের ইতিহাসে এই প্রথম কোনও প্রতিষ্ঠানের একই বিভাগের দুই অধ্যাপককে একই বছরে সম্মানিত করা হল

সুজয় চক্রবর্তী

শেষ আপডেট: ২৭ সেপ্টেম্বর ২০১৮ ১৩:১৩
এ বছর রসায়নে ভাটনগর পুরস্কার জয়ী দুই বিজ্ঞানী। স্বাধীন মণ্ডল (বাঁ দিকে) ও রাহুল বন্দ্যোপাধ্যায়।

এ বছর রসায়নে ভাটনগর পুরস্কার জয়ী দুই বিজ্ঞানী। স্বাধীন মণ্ডল (বাঁ দিকে) ও রাহুল বন্দ্যোপাধ্যায়।

বাতাসে বিষের বোঝা কমানোর রাস্তা দেখালেন। আর সেই বিষকেই বিকল্প জ্বালানির মতো আমাদের রোজকার জীবনে কাজে লাগানোর উপায় বাতলালেন। যা খুবই সস্তা, করাও যায় সহজে। ওই দুই কৃতিত্বের জন্য এ বছর রসায়নে ভাটনগর পুরস্কার জিতলেন দুই বঙ্গসন্তান। স্বাধীন মণ্ডল ও রাহুল বন্দ্যোপাধ্যায়। দু’জনেই মোহনপুরের ‘ইন্ডিয়ান ইনস্টিটিউট ফর সায়েন্স এডুকেশন অ্যান্ড রিসার্চ’ (আইসার-কলকাতা)-এর ডিপার্টমেন্ট অফ কেমিক্যাল সায়েন্সেসের অধ্যাপক।

ভাটনগর পুরস্কারের গত ছয় দশকের ইতিহাসে এই প্রথম কোনও প্রতিষ্ঠানের একই বিভাগের দুই অধ্যাপককে একই বছরে সম্মানিত করা হল। বুধবার বিজ্ঞানে ভারতের এই সেরা পুরস্কারের ঘোষণা করেছে ‘কাউন্সিল অফ সায়েন্টিফিক অ্যান্ড ইন্ডাস্ট্রিয়াল রিসার্চ’ (সিএসআইআর)।

আইসার-কলকাতার ডিপার্টমেন্ট অফ কেমিক্যাল সায়েন্সেসের বিভাগীয় প্রধান স্বাধীন মণ্ডলকে ভাটনগর পুরস্কার দেওয়া হয়েছে তাঁর দু’টি আবিষ্কারের জন্য। আর একটি অত্যন্ত গুরুত্বপূর্ণ আবিষ্কারের জন্য ওই পুরস্কার দেওয়া হয়ে‌ছে ওই শিক্ষাপ্রতিষ্ঠানের একই বিভাগের অ্যাসোসিয়েট প্রফেসর রাহুল বন্দ্যোপাধ্যায়কে। রাহুল ও স্বাধীন দু’জনেই লন্ডনের রয়্যাল সোসাইটি অফ কেমিস্ট্রির ফেলো।

কী করেছেন স্বাধীন, রাহুলরা?

তাঁরা বাতাসের বিষকে ‘ঘিরে ফেলার’ (ক্যাপচার) খুব সস্তা আর সহজ উপায় দেখিয়েছেন এই প্রথম। যাতে ধাতুকে ব্যবহার করতে হয় না। ফলে, ধাতুর অক্সাইড, নাইট্রেট, নাইট্রাইট যৌগগুলি থেকে বাতাসে নতুন করে বিষ মেশার সম্ভাবনা কার্যত, শূন্যই হয়ে যায়। তাঁদের গবেষণাপত্র প্রকাশিত হয়েছে ‘নেচার’, ‘জার্নাল অফ আমেরিকান কেমিক্যাল সোসাইটি’র মতো আন্তর্জাতিক বিজ্ঞান-জার্নালে।

কলকারখানার ধুলো-ধোঁয়া আর বর্জ্য পদার্থ প্রতি মুহূর্তেই বাতাসে বিষের বোঝা বাড়িয়ে তুলেছে। সেই বিষের মধ্যে রয়েছে কার্বন ডাই-অক্সাইড, কার্বন মনোক্সাইড, সালফার ডাই-অক্সাইড, নাইট্রিক অক্সাইডের মতো গ্যাসগুলি। দেশে দেশে যত শিল্পোৎপাদন বাড়ছে, যত গাড়িঘোড়ার নির্ভরতা বাড়ছে পেট্রল, ডিজেলের মতো জীবাশ্ম জ্বালানি (ফসিল ফুয়েল)-র ওপর, ততই ওই সব বিষ আরও বেশি পরিমাণে মিশছে বাতাসে। যার জেরে হচ্ছে উষ্ণায়ন। আমাদের বাসযোগ্য পৃথিবী বড় তাড়াতাড়ি ‘বুড়োটে’ হয়ে যাচ্ছে।

কলকারখানার চিমনিই বিষ ঢুকিয়ে দিচ্ছে বাতাসে

উষ্ণায়নকে নিয়ন্ত্রণ করতে বাতাসে ওই বিষের পরিমাণ কমানো যখন প্রায় দুঃসাধ্য হয়ে উঠেছে, তখন ওই বিষকে ‘ঘিরে ফেলা’ (ক্যাপচার) আর তাকে মানুষের রোজকার জীবনে কাজে লাগানোর (কনভার্ট) জোর চেষ্টা শুরু হয়ে গিয়েছে গোটা বিশ্বেই। ক্যাপচার আর কনভার্ট, ওই দু’টি পদ্ধতিকে এক সঙ্গে বলা হয় ‘সি-টু’ প্রক্রিয়া।

অণুঘটক কী জিনিস?

এই প্রক্রিয়ার সবচেয়ে বড় অসুবিধাটা হল, কার্বন ডাই-অক্সাইড, সালফার ডাই-অক্সাইডের মতো বিষগুলিকে খুব সহজে ঘিরে ফেলা বা ক্যাপটার করা যায় না। কারণ, সেগুলি গ্যাসীয় পদার্থ। কঠিন বা তরল পদার্থকে ঘিরে ফেলা যতটা সহজ, কোনও গ্যাসীয় পদার্থকে ঘিরে ফেলা ততটাই কঠিন যে! তাই বাতাসের বিষকে ক্যাপচার করার বিভিন্ন পদ্ধতিতেই কিছু ফাঁক থেকে গিয়েছে। কারণ, বিষকে ক্যাপচার করার জন্য বিশেষ ধরনের রাসায়নিক বিক্রিয়া (কেমিক্যাল রিঅ্যাকশান) ঘটানোর প্রয়োজন হয়। আর সেই বিক্রিয়াগুলি যাতে খুব তাড়াতাড়ি হয়, তার ঘটকালি করে কয়েকটি বিশেষ পদার্থ। যেগুলিকে বলা হয় ক্যাটালিস্ট বা অণুঘটক। কোনও বিক্রিয়ার গতি বাড়াতে সাহায্য করলে সেই ক্যাটালিস্টগুলি হয় ‘পজিটিভ’। আর বিক্রিয়ার গতিতে রাশ টেনে ধরলে সেই অণুঘটকগুলিকে ‘নেগেটিভ ক্যাটালিস্ট’ বলা হয়।

বাতাসের বিষকে ক্যাপচার করার জন্য রাসায়নিক বিক্রিয়ায় পজিটিভ ক্যাটালিস্ট ব্যবহার করা হয়। আর গোটা বিশ্বে এখনও সেই ক্যাটালিস্ট বানানো হচ্ছে মূলত ধাতু দিয়ে। সেগুলি খুব সহজলভ্য ধাতুও নয়। তাই ওই পদ্ধতিগুলি খুবই ব্যয়সাপেক্ষ। ওই ধাতুগুলির মধ্যে রয়েছে প্যালাডিয়াম, ইরিডিয়াম, প্ল্যাটিনাম, রোডিয়াম, রুথেনিয়ামের মতো অত্যন্ত দুর্লভ ও দামি মৌলিক পদার্থগুলি।

আরও পড়ুন- ব্রহ্মাণ্ডে এ বার আরও উন্নত সভ্যতা খুঁজবে নাসা​

আরও পড়ুন- আমজনতার জন্য দরজা খুলে দিচ্ছে ইসরো, এ বার ঘুরতেও যাওয়া যাবে​

স্বাধীনের কৃতিত্ব কোথায়?

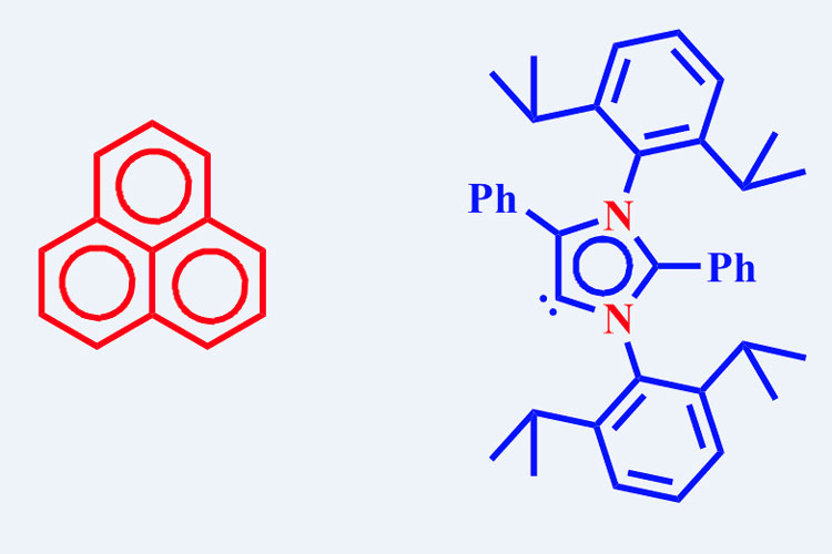
তিনি প্যালাডিয়াম, ইরিডিয়াম, প্ল্যাটিনাম, রোডিয়াম, রুথেনিয়ামের মতো কোনও ধাতুর ব্যবহার না করেই এমন একটি অণুঘটক প্রয়োগ করেছেন, যা একেবারে ধাতুর মতো আচরণ (অণুঘটকের জীবন চক্রে প্রথমে ইলেকট্রন ছাড়ে, পরে সেই ইলেকট্রনকে ফিরিয়ে নেয়) করে বাতাসের বিষকে ঘিরে ফেলতে সাহায্য করে। ফলে ওই ঘিরে ফেলার কাজ করতে গিয়ে ধাতুর মতো বাতাসে বিষের বোঝা ফের বাড়িয়ে দেয় না। স্বাধীন যে পদার্থটি প্রয়োগ করেছেন, তাকে বলা হয় অরগ্যানিক হাইড্রোকার্বন। যার বৈজ্ঞানিক নাম- ‘ফেনালএনিল বেস মলিকিউল’।

স্বাধীনের আবিষ্কৃত ‘ফেনালএনিল বেস মলিকিউল’-এর গঠনকাঠামো

কিন্তু বিষকে শুধু ঘিরে ফেললেই তো হবে না। তাকে ভাল কাজেও লাগাতে হবে। এটাকেই বলে কনভার্সন। চিনের মতো দেশে বাতাসের কার্বন ডাই-অক্সাইড গ্যাসকে যেমন ঘিরে ফেলে ৭০ শতাংশ ক্ষেত্রেই মিথাইল অ্যালকোহলে বদলে ফেলা হয়। যা খুব ভাল জ্বালানি। পুড়লে শুধুই জল বেরয় বলে বাতাসে নতুন করে বিষ মেশে না।

বাতাসের বিষকে ‘ঘিরে ফেলা’র সমস্যাটা কোথায়?

কিন্তু এই ক্ষেত্রে কিছু সমস্যা হয়। কারণ, তা করা হয় অত্যন্ত বেশি তাপমাত্রা আর খুব বেশি চাপে।

স্বাধীনের কথায়, ‘‘আমরা সেটাই করে দেখিয়েছি একেবারে স্বাভাবিক অবস্থায়। ঘরের তাপমাত্রায় (২৫ ডিগ্রি সেলসিয়াস), স্বাভাবিক চাপে (এক অ্যাটমস্ফিয়ার)। আর তাতে কোনও দুর্লভ ধাতুকেও ব্যবহার করতে হয় না।’’

আর সেটা করতে গিয়ে নতুন আরও একটি পদার্থ প্রয়োগ করেছেন স্বাধীন। গোত্রের নিরিখে যেগুলিকে বলা হয় ‘অ্যাবনর্ম্যাল কারবিন’। কার্বন পরমাণুর সাধারণত, চারটি হাত (ভ্যালেন্সি) থাকে। কিন্তু এই কারবিনের থাকে মাত্র দু’টি হাত। আর সাধারণত, কার্বন পরমাণুর এই অবস্থাটা খুবই অল্পায়ু হয়। স্বাধীনের কৃতিত্ব, তিনি ওই অবস্থাটাকে চিরস্থায়ী করতে পেরেছেন ‘এন-হেটারোসাইক্লিক ইমিডা জোলিয়াম’ নামে একটি পদার্থ প্রয়োগ করে।

রাহুলের কৃতিত্ব কোথায়?

ওই বাতাসের বিষকে ক্যাপচার করারই একটি অভিনব উপায় বাতলিয়ে ভাটনগর পুরস্কার পেয়েছেন রাহুল। তিনি ঘিরে ফেলার পাঁচিলটাকে শক্তপোক্ত করার পদ্ধতি দেখিয়েছেন।

রাহুলের আবিষ্কৃত ‘কোভ্যালেন্ট অরগ্যানিক ফ্রেমওয়ার্ক’-এর গঠনকাঠামো

রাহুলের কথায়, ‘‘বাতাসের বিষকে ঘিরে ফেলার পরেও বেশি ক্ষণ থাকে ঘিরে রাখা যায় না। কারণ, কার্বন ডাই-অক্সাইড, সালফার ডাই-অক্সাইডের মতো বাতাসে মিশে থাকা গ্যাসীয় পদার্থগুলি নানা রকমের বিক্রিয়ায় জল আর বিভিন্ন ধরনের অ্যাসিডের জন্ম দেয়। সেই জল আর অ্যাস়িডই বিষগুলিকে ঘিরে রাখার পাঁচিলটাকে ক্ষইয়ে দেয়। ফলে, বিষকে বেশি ক্ষণ ঘিরে রাখা যায় না। আমরা যে পদার্থটি প্রয়োগ করেছি, তার নাম ‘ফ্লুরো-গ্লুসিমল ট্রাইঅ্যালডিহাইড’। গোত্রে যা ‘কোভ্যালেন্ট অরগ্যানিক ফ্রেমওয়ার্ক’।’’

স্ত্রীর স্মৃতিতে উৎসর্গ করছি এই সম্মান: স্বাধীন

স্বাধীন ও রাহুল দু’জনেই কলকাতার সন্তান হলেও স্বাধীন পিএইচডি করেন বেঙ্গালুরুর ‘ইন্ডিয়ান ইনস্টিটিউট অফ সায়েন্স’ (আইআইএস) থেকে। পোস্টডক্টরাল জার্মানির গ্যেটিনজেন বিশ্ববিদ্যালয় থেকে। আর রাহুল হায়দরাবাদ বিশ্ববিদ্যালয় থেকে পিএইচডি করে লস অ্যাঞ্জেলিসের ক্যালিফোর্নিয়া বিশ্ববিদ্যালয় থেকে।

গত বছরই মৃত্যু হয়েছে স্বাধীনের স্ত্রী সুদেষ্ণার। স্বাধীন বললেন, ‘‘এই সম্মান আমি সুদেষ্ণাকেই উৎসর্গ করছি।’’

চমক আইসার-এর

ম্যাঞ্চেস্টার থেকে আইসার-কলকাতার অধিকর্তা সৌরভ পাল টেলিফোনে বললেন, ‘‘আমি অত্যন্ত খুশি। এর আগে একই বছরে কলকাতা থেকে দুই বাঙালি একই বিষয়ে ভাটনগর পুরস্কার পাননি। খুব বেশি বয়স না হলেও আইসার-কলকাতা ও পুণের তিন জন এ বার এই পুরস্কার পাওয়ায় আমরা গর্বিত।’’

ছবি সৌজন্যে: আইসার-কলকাতা

Catalyst Carbon-Carbon Bond Pollution Bhatnagar Prize ভাটনগর পুরস্কার স্বাধীন মণ্ডল রাহুল বন্দ্যোপাধ্যায়
Advertisement

আরও পড়ুন:

Share this article

CLOSE

Log In / Create Account

We will send you a One Time Password on this mobile number or email id

Or

By proceeding you agree with our Terms of service & Privacy Policy